Agentic AI: Transforming Industries, Unleashing Explosive Growth, and Shaping a Prosperous Future
This post is to share my thoughts on Agentic AI transforming and disrupting most industries. There are lots of ideas…
Read MoreFeatured posts
This post is to share my thoughts on Agentic AI transforming and disrupting most industries. There are lots of ideas…
Read MorePrompt engineering is a dynamic, creative and powerful skill to learn in current AI LLM era. LLMs are a powerful…
Read MoreHaven’t blogged in a while, thought might be good to put some recent thoughts (X tweets) in one place. Last…
Read More
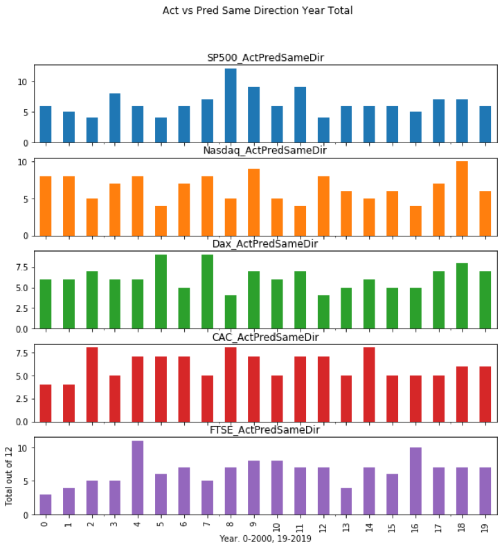
Predict 3 year Forward Asset Prices & Direction and Portfolio Return & Risk using Historic Macro data & Central Bank…
Read MoreBuilding a #datascience #machinelearning #algorithm is relatively simple. 8 lines of #python code. It’s the other process steps that require…
Read More
Please check out the introduction video playlist on youtube to all lectures. It will give you an idea about what…
Read MoreAnnouncing the launch of our online course on Udemy and other online platforms. Udemy course link is – https://www.udemy.com/course/datascience-e2e-beginnerscourse-machinelearning-dataanalytics/learn/lecture/25000096#overview Data…
Read More
Very interesting post by KDnuggets on machine learning methods being used. Lot of increase in usage for deep learning neural…
Read More
Often the hardest part of solving a machine learning problem can be finding the right estimator (algorithm) for the job.…
Read More
http://www.cs.toronto.edu/~hinton/papers.html One of his earlier articles written in 1986!Learning internal representations by error propagation. http://www.cs.toronto.edu/~hinton/absps/pdp8.pdf Another one of his earlier articles,…
Read More